首页
关于我们
产品目录
涂料与油漆
涂料
其它
化学矿
磷酸盐及砷酸盐、钒酸盐矿
日用化工
有机原料
烃类化合物及其衍生物
醇、酚、酚醇类化合物及衍生物
杂环类化合物
酯类
羧酸类化合物及衍生物
醛、酮、醌类化合物
含氮类有机物
芳香族化合物
卤化物
氨基酸、蛋白质和核酸
有机盐类
碳水化合物
有机硅化合物
有机金属类化合物
有机硫化合物
有机膦化合物
有机氟化合物
腈类化合物
肼或胲的有机衍生物
醚类化合物及其衍生物
烷基脲类及其衍生物和盐
中间体
医药中间体
香精和香料中间体
染料中间体
合成材料中间体
其它中间体
医药与生物化工
中草药提取物及生物制品
辅料
生物化工
食品和饲料添加剂
食品添加剂
饲料添加剂
香精与香料
香料
化学试剂
一般有机试剂
生化与分子生物学用试剂
一般分析试剂
高纯有机试剂
其他试剂
氘代试剂
有机试剂
硅烷试剂
进口标准品
无机化工
无机盐
无机酸
氧化物和过氧化物
无机碱
单质元素
其它
氢、氧、氮等气体
催化剂及助剂
助剂
催化剂
其它
聚合物
塑料及制品
其它聚合物
染料与颜料
染料
颜料
试剂盒
教学试剂盒
联系方式
其他
产品订购询价热线:021-60536261
批量搜索
|
结构式搜索
联系方式
地址
:浦东新区菲拉路55号705
电话
:021-60536261
传真
:021-58610291
手机
:13311756052
18717771011 18930834989 13296125791
Q Q
:
首页
>
产品目录
>
有机原料
>
羧酸类化合物及衍生物
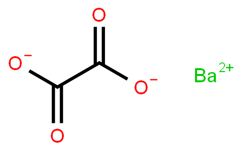
草酸钡
产品编号:P215203
化学名
barium oxalate
CAS号
516-02-9
分子式
BaC
2
O
4
分子量
225.35
EINECS编号
208-216-9
MDL号
若产品库存不足,不足部分我们将于2-5个工作日内发货至您处;
若小包装产品库存不足,在有大包装产品的情况下,我司可立即分装,15:00以前的订单视为现货订单;
库存状态为现货产品,15:30前下单当日发货。
大包装询价
产品介绍
相关产品
Butyl trifluoroacetate
6-morpholinopyridine-3-carbonylchloride
NICOTINYL CHLORIDE HYDROCHLORIDE
氨基丙二酸二乙酯
P-(OCTYLOXY)BENZOYL CHLORIDE
巴豆酰氯
巯基乙酸异辛酯
金刚烷酰氯
2-萘酚-3-甲酸
全氟辛酸
二苯基乙酰氯
柠檬酸
4-乙基苯磺酰氯
PYRIDINE-2-SULFONYL CHLORIDE
雷尼酸四乙酯
大包装询价
CAS NO
包装规格
纯度
数量
期望价格
单位名称
产品名称
联系人
电话
E-mail
备注
验证码
填写验证码
可通过CAS号进行批量搜索,一行一个CAS号
我们营业的时间
8:30--17:30
销售一部
北京 天津 河北
山西 内蒙古
销售二部
辽宁 吉林 黑龙江
销售三部
上海 江苏 浙江
安徽 福建 江西 山东
销售四部
广东 广西 海南
销售五部
河南 湖北 湖南
销售六部
重庆 四川 贵州
云南 西藏
销售七部
陕西 甘肃 青海
宁夏 新疆
仪器部
仪器部
海外客户
海外客户